S+T AG - neuer TecDAX Kandidat?

Seite 426 von 446
neuester Beitrag:  28.03.25 08:46
eröffnet am: 03.06.13 13:42 von: Klei Anzahl Beiträge: 11131
neuester Beitrag: 28.03.25 08:46 von: 011178E Leser gesamt: 4941459
davon Heute: 404
bewertet mit 27 Sternen

Seite:  Zurück      |     von   446     
17.10.22 13:50 #10626 Man darf wirklich gespannt sein
welche Strategie hinter Grosso's massiven Käufen steckt.

Na, dann mal erfolgreiches Gamechanging!  
17.10.22 14:54 #10627 @pinktrainer
das hat NH schon erwähnt. Zitat NH "Grosso verfolgt keine Kontrollziele sondern rein ökonomische"  

Bewertung:

20.10.22 15:05 #10628 Mitteilung über Eigengeschäfte von Führungs.

50.023 Kontron-Aktien
725.328,19 EUR

https://www.pressetext.com/news/20221020025

 

Bewertung:
3

20.10.22 17:49 #10629 Eigentlich habe ich mit 17.00 €
zum Jahresende gerechnet - so wird das nix. Kontron sollte doch endlich mal zu den alten Hochs zurück.
Woran liegt's ??  
21.10.22 09:39 #10630 @Medigenial
Woran es liegt?
Es kommt einfach kein Volumen zustande. M.E. weil es keine Verkäufer gibt.
Es sind nur noch ein paar Kleinanleger unterwegs, die aus welchen Gründen auch immer ein paar Stücke anbieten, die Grossotec dann aufkauft.
Die 50000 Stück vom 19.10.  sind ja nicht mal an einen Tag eingesammelt worden, sondern müssen eine Summe aus mindestens 2 Tagen sein.

Institutionelle müssen warten bis Krieg und Energiesituation sich entspannt.
Möglicherweise erst in Monaten.


 

Bewertung:
1

22.10.22 00:57 #10631 Kontron AG - Noch ca. 5 Wochen
dann soll doch der Kaufpreis fliessen.... also zum 01.12.2022.

Habe ich dies richtig in Erinnerung?

Mehrfach wurde doch geäußert, man habe schon Übernahmeobjekte im Visir...

Habe ich auch dies korrekt in Erinnerung?

Aktuell sind Tehnologiewerte STARK abgestraft und daher ENDLICH vergleichsweise günstig zu übernemehmen.

Ich gehe daher sehr stark davon aus, dass man sich DIESMAL nicht wieder lange Zeit lässt, sondern sofort und unmittelbar nach Zahlungsfluss Anfang Dezember zuschlagen wird.

Das dürfte dann sehr sehr spannend werden für den Aktienkurs und auch für die dann immer noch Leerverkauften Adressen....  

Bewertung:
1

22.10.22 13:03 #10632 @ Klei
Wenn closing dann fließt auch der Großteil des Kaufpreises.  Liste der targets ist lt Management und Aussage am CMD gut gefüllt. Die Frage ist, ob die potentiellen Targets auch zu günstigen Preisen so verkaufswillig sind.  Denke das Management hat heuer einen guten Job gemacht und einige Projekte und Herausforderungen gemeistert.  Für 2023 sollte 100% aller Anstrengungen in Wachstum und Wertsteigerung investiert werden können. Meine Meinung und Einschätzung.  

Bewertung:
1

24.10.22 10:42 #10633 Grosso macht weiter +
Aktienrückkauf von Mühlbauer, für zus. rd. 760.000 €:

https://www.pressetext.com/news/20221024005
https://www.pressetext.com/news/20221024012

 
25.10.22 19:30 #10634 Kleine Bemerkung am Rande
Ennocon ist aktuell mit 19,4 Mrd. Taiwan Dollar bewertet.

und zwar die GANZE Ennoconn... inkl. dem Anteil an Kontron.

Umgerechnet sind 19,4 Mrd. Taiwan Dollar "nur" 600 Mio. Euro.

Früher war mal ein Reverse Take Over im Gespräch. Heute wäre er realisierbar.

Ich weiß ja nicht, ob noch Interesse besteht aber mit 150-200 Mio Euro kauft man dann eh sich selber und mit dem Rest ne Menge interessante Assets und man wäre dam am Ruder und könnte dort das Management austauschen durch eigene Leute.

Laut Aussagen von Hannes Niederhauser wüsste er da so einiges, was er "sanieren" könnte, um damit dort die Prozesse zu optimieren.

Ich persönlich schätze, dass es auch dort wiederum Abspaltungsmöglichkeiten gäbe, die man erneut zu Bargeld machen könnte um erneut Kapital für noch weiteres Wachstum zu generieren.  

Bewertung:
4

25.10.22 20:04 #10635 Ergänzung zu meinem Vorposting
Man würde sich selbst ja zu ca. 28% kaufen also 28% von 925 Mio .... = 259 Mio.

Man bekäme also REST Ennocon für nur 341 Mio.

Davon kann man noch ein Teil in Cash Abspalten durch Teilverkäufe, um sich dort nur die IoT Happen raus zu picken.  

Bewertung:
3

28.10.22 10:18 #10636 Klei
Was sagst du zu der verbleibenden IT Sparte (228 mio Umsatz) , auch hierfür dürfte man wohl zeitnah einen Käufer suchen, könnte nochmal 250 mio bringen.

Dann hätte Kontron einen ganz klaren Fokus auf Embedded IoT.  

Bewertung:
1

28.10.22 21:22 #10637 Neuausrichtung zum reinen IoT-Player
In diesem Inteview liest es sich so, als ob Kontron bis 2025 ein reiner IoT Player werden soll, halte ich auch für richtig so.

https://www.smart-production.de/open-automation/...en-iot-player/np/3

Kontron war am Beginn der 2000er Jahre nach dem Neuer Markt Crash sehr lange ein großer und wichtiger Wert in meinem Depot mit KK unter 2 €. Insofern ein sehr besonderes Unternehmen für mich. Die heutige Kontron ist viel weiter und besser als damals. Insofern bin ich ich jetzt zu diesem Wendepunkt hin zum reinen IoT Player zu 14,50 wieder bei Kontron an Bord, die Entwicklung dürfte in den nächsten 12-18 Monaten sehr spannend werden.  

Bewertung:
1

29.10.22 11:47 #10638 Rest IT Sparte
@Purdie

Die verbliebenen Gesellschaften konnte man aktuell noch nicht verkaufen, da dies steuerliche Nachteile mit sich gebracht hätte. Ich glaube es werden da noch Verlustvorträge genutzt oder so. Die Aussage viel irgendwo vor Wochen mal, vielleicht auf dem CMD. Grundsätzlich hat der "Rest IT" natürlich ein gewisses Potential für zukünftige Verkäufe dar und würde den IOT Spielraum erweitern.

Die quälende Zeit der Stagnation bzw. des Rückgangs sollte in 2023 beendet werden.  
29.10.22 13:17 #10639 @SmartieHH
die Steuervorteile beziehen sich auf AT (135 mio), die muss man natürlich nutzen. Aber HU und RO passten nicht in die Strategie von Vinci. Da rechne ich schon mit einem Verkauf, dessen Erlös für die IoT Strategie genutzt werden kann.

Siehe Präsentation (Seite 4)
https://ir.kontron.ag/IR_PPT_September_05092022.pdf  

Bewertung:
2

02.11.22 07:24 #10640 @ Purdie
HU wird vielleicht verkauft. RO wurde jedoch zu einem Art Servicecenter für IoT umfunktioniert (siehe Info vom CMD), daher wird es hier zu keinem Verkauf kommen. Kontron hat genug Cash um in das Wachstum von IoT investieren zu können, wenn der Deal finalisiert ist. Die Akquisitionen müssen ja integriert werden, damit aus 1+1 mehr als 2 wird und das dauert auch Zeit.
@ Jetzt liegt es meines Erachtens daran die (organische) operative Entwicklung weiter zu verbessern, damit wieder (neue) Anleger überzeugt werden und in die Kontron investieren. Die Umsätze und Entwicklung sind denke ich für alle sehr enttäuschend, da braucht man sich nichts "schön zu reden". Überlege gerade, ob ich heute nochmals nachkaufe und eine "gierige Order" bei 13,98 (15k Stk.) platziere. Aber gegen den Trend zu arbeiten ist normalerweise nicht gerade klug.
 

Bewertung:
3

02.11.22 10:58 #10641 Erwartungen
Wie sind die Erwartungen für die Zahlen morgen?  

Bewertung:

02.11.22 12:02 #10642 @Crine
Waren das Deine Stücke?  

Bewertung:
1


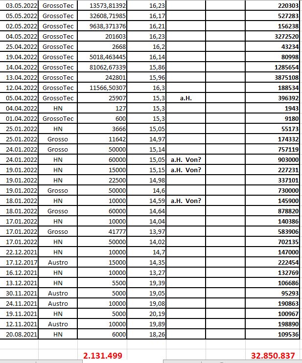
Angehängte Grafik:
orderbuch_02.jpg
orderbuch_02.jpg
02.11.22 12:39 #10643 @crine
Ich gratuliere dir recht herzlich und Hut ab eine beachtliche Stückzahl  

Bewertung:

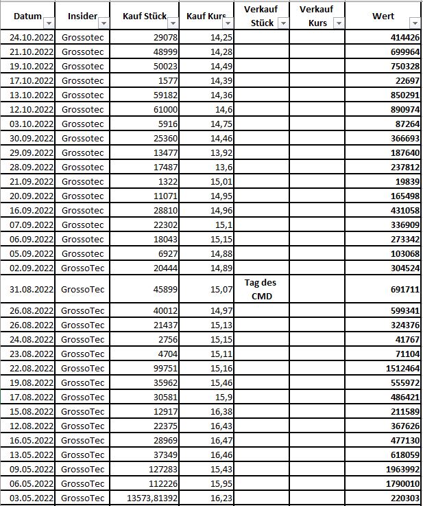
02.11.22 12:58 #10644 Endlich mal wieder etwas mehr Volumen!
Nach der Logik der letzten Wochen müsste Grossotec heute auch wieder gekauft haben  

Angehängte Grafik:
stand_dd_02.jpg (verkleinert auf 73%) vergrößern
stand_dd_02.jpg
02.11.22 13:06 #10645 @Werner
Dankeschön! Die Summenzeile wär schon auch nett gewesen :-)  

Bewertung:

02.11.22 13:38 #10646 @renox
Ich kann dir nicht garantieren ob die Daten vollständig sind oder ob ich welche übersehen habe. Außerdem mache ich das erst sei ca 1a  

Angehängte Grafik:
teil_1.jpg (verkleinert auf 82%) vergrößern
teil_1.jpg
02.11.22 13:39 #10647 @renox Teil 2
 

Bewertung:
1


Angehängte Grafik:
teil_2.jpg (verkleinert auf 82%) vergrößern
teil_2.jpg
02.11.22 14:18 #10648 @ Werner
Dankeschön!!

 

Bewertung:

02.11.22 15:02 #10649 Teilkauf
Die 15.000 Stück war ich. Hat mich "gejuckt" nochmals nachzulegen. Habe nicht erwartet Anfang November nochmals unter 14 kaufen zu können.  

Bewertung:
2

02.11.22 15:40 #10650 @Crine
Hatte ich mir schon so gedacht, nachdem du das postet hattest. Ich habe mir auch nochmal etwas gekauft. Was mir nur nicht 100% klar ist, wie so eine grössere Order technisch abgewickelt wird.
Da ist ja mit hoher Wahrscheinlichkeit keine Einzelperson, die gerade zufällig auch 15000 zu 13,98 verkaufen will.
D.h. die Bank oder der Händler muss "Deine" 15000 Stück quasi mühsam unter 13,98 einsammeln um deine Order erfüllen zu können (gehe mal davon aus, bei einem allfälliger besseren Einkaufskurs des Händlers, sackt er die Differenz selbst ein).
Die letzten Wochen gab es so viel ich gesehen habe kaum grössere Einzelorders. Selbst bei den Volumen die Grossotec ab und zu meldet, muss jemand das mühsam aufsammeln oder Grossotec hat quasi mit der beauftragten Bank eine Grenze definiert unter der die Bank quasi alles was verfügbar ist aufkauft.
Wäre ganz interessant zu verstehen wie diese Mechanismen in der Realität ablaufen. Bin leider kein Banker oder sonst vom Fach, daher vielleicht die Frage in die Runde.
Interessant ist auch, dass einige Grossotec Meldungen sogar Summen aus min 2 Tagen sein müssen, weil das Tagesvolumen selbst teilweise unter der Aktienzahl ist, die Grossotec als Kauf meldet.
Nur eine Beobachtung nebenbei, keinerlei Wertung.
Hinsichtlich der Zahlen und der Tatsache dass wir schon lange nichts mehr "Offizielles" gehört haben, gehe ich davon aus, dass alles wie geplant abgearbeitet wird und keine unerwartet schlechten Nachrichten schlummern. Den hervorragenden track record bei den Quartalszahlen nicht zu enttäuschen will bei Kontron sicher keiner riskieren.
Leider ist das bei vielen anderen Dt Firmen nicht der Fall. :(

 

Bewertung:
1

Seite:  Zurück      |     von   446     
Antwort einfügen - nach oben
Lesezeichen mit Kommentar auf diesen Thread setzen: